Issue 01 · Volume 59 · January 2026
Nader G et al.
Antipsychotic Polypharmacy and Epigenetic Age Acceleration in Schizophrenia
抗精神病药物多重用药与精神分裂症中的表观遗传年龄加速

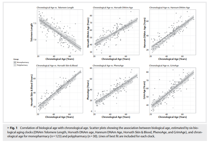
精神分裂症谱系障碍(schizophrenia spectrum disorders,SSD)是一类致残性精神疾病,需要长期的药物治疗、认知干预及功能康复管理。SSD患者通常会被处方多种药物,其中最常见的是抗精神病药物,但这些药物往往伴随多种不良反应。近年来,越来越多的研究证据表明,SSD患者存在表观遗传衰老的改变。然而,抗精神病药物对这一现象的影响仍尚未得到充分探讨。
Deuter CE et al.
应激诱导的皮质醇在药理性阻断矿物皮质激素受体或糖皮质激素受体后的决策影响研究

急性应激会影响决策过程,这种作用可能是由应激诱导的皮质醇释放所介导。在大脑中,皮质醇可激活两种不同类型的受体:糖皮质激素受体(GR)和矿物皮质激素受体(MR),且二者具有不同的功能特征。尽管既往研究提示MR和GR各自具有特定作用,但这两类受体在决策过程中的具体角色仍缺乏充分研究。
Hagenkötter SS et al.
儿童与青少年ADHD药物血药浓度治疗参考范围:AGNP治疗药物监测任务组的系统综述

注意缺陷/多动障碍(ADHD)药物在儿童和青少年中被广泛处方使用,但其治疗参考范围尚未得到系统性评估。本研究旨在基于对现有相关文献的系统综述,建立哌甲酯(MPH)、右旋安非他命(d-AMP)、托莫西汀(ATX)和胍法辛(GFC)的初步治疗参考范围。
Submit your article today!
Pharmacopsychiatry 聚焦精神药物领域的最新进展,为精神科医生、神经科学家及临床医师提供关键的临床见解,并阐述新的研究与治疗方向。期刊通过呈现临床与实验研究,探讨精神障碍的药理学和神经生物学基础。
Thieme Award for the Most Innovative Original Paper
Thieme 每年都会评选上一年度发表的最具创新性的论文。评审团(由期刊编辑和顾问委员会组成)的评选完全基于论文的科学质量以及其在学术界所引发的关注程度。奖金为500欧元。
